文献转载:烟草弯胞菌 NADPH 依赖型硫氧还蛋白还原酶 C 的结构研究及其与 2-半胱氨酸过氧化物酶相互作用的分子机制
文献转载:烟草弯胞菌 NADPH 依赖型硫氧还蛋白还原酶 C 的结构研究及其与 2-半胱氨酸过氧化物酶相互作用的分子机制

Jiatai Zhang,a‡ Xuehui Bai,a‡ Shaodong Daib* and Zhongzhou Chena*
a 中国农业大学生物学院动物生物技术育种国家重点实验室,北京
b 药学系,科罗拉多大学丹佛分校斯卡格斯药学院,科罗拉多州,奥罗拉市 80045,美国
*通讯邮箱:shaodong.dai@cuanschutz.edu,chenzhongzhou@cau.edu.cn
NADPH 依赖型硫氧还蛋白还原酶 C(NTRC)在所有质体类型中普遍存在,包括叶绿体和非光合质体,是氧化还原稳态的核心调节因子。它在过氧化物抗性、氧化还原信号传导、四吡咯生物合成、淀粉代谢和光周期调节中发挥着关键作用。NTRC/2-Cys 过氧化物酶(2CP)介导的抗氧化防御系统在对抗病原体引起的生物胁迫方面也至关重要。相关研究表明,NTRC 与 2CP 之间的相互作用对于调节和整合叶绿体中的氧化还原功能至关重要。然而,NTRC 与 2CP 相互作用的分子机制仍不清楚。在本研究中,我们表征了烟草(Nicotiana benthamiana)NTRC(NbNTRC)的三维结构,并通过 X 射线晶体学解析了其 NTR 结构域的晶体结构。此外,我们还通过体外实验,包括Pull-down实验、尺寸排阻色谱、微量热泳动和热稳定性实验,研究了 NbNTRC 与 Nb2CP 相互作用的分子基础及稳定性。总之,我们的研究确定了两个半胱氨酸残基对于 NbNTRC 与 Nb2CP 复合物的内在稳定性以及它们之间的分子间相互作用至关重要,确定了 NbNTRC NTR 结构域的结构,并为 NbNTRC - Nb2CP 调控复合物提供了新的机制见解。
1. 简介
病原体、昆虫以及诸如洪涝、长期干旱和热浪等多样的非生物胁迫给农业生产造成了巨大损失,威胁着全球粮食安全(Raza 等人,2025 年;龚,2021 年;Medina-Puche 等人,2020 年;Deutsch 等人,2018 年)。由于全球变暖和气候变化,这些胁迫发生的频率和强度显著增加,这凸显了了解增强植物抵御此类逆境能力机制的紧迫性。活性氧(ROS)在植物应对环境胁迫的过程中充当着核心信号分子(Lennicke 和 Cocheme,2021 年;Medina-Puche 等人,2020 年)。它们参与胁迫感知、信号网络整合以及防御机制的激活。然而,ROS 浓度的升高会成为氧化代谢的有害因素,损害细胞成分并引发程序性细胞死亡(PCD),从而导致一系列病理现象(Dietz 等人,2016 年)。因此,生物系统内氧化还原状态的平衡对于介导氧化还原信号传导和调节细胞功能至关重要(Lennicke 和 Cocheme´,2021)。
鉴于叶绿体是活性氧(ROS)产生和清除的主要场所,该细胞器内的氧化还原调节至关重要尤为重要的是,在植物叶绿体中,氧化还原调节由一个包含光合作用还原型铁氧还蛋白(Fd)、依赖于 Fd 的硫氧还蛋白还原酶(FTR)以及一系列硫氧还蛋白(Trxs)的系统介导(Yoshida 等人,2022 年)。同时,叶绿体还拥有一个额外的氧化还原调节系统,涉及 NADPH 依赖型硫氧还蛋白还原酶 C(NTRC),这是一种同时具有 NTR 结构域和 Trx 结构域的双功能酶,以及相关的硫氧还蛋白(Kirchsteiger 等人,2012 年;Serrato 等人,2004 年)。总的来说,这两个氧化还原系统对于维持光合作用效率以及植物的生长和发育至关重要(Thormählen 等人,2015 年;Ojeda 等人,2017 年)。
过氧化物酶(Prxs)是硫氧还蛋白(Trx)超家族的一个亚类,其中 2-半胱氨酸过氧化物酶(2CP)是最常见的同工型(Wood 等人,2003 年)。NTRC 是 2CP 还原的有效电子供体,有助于其过氧化物酶活性(Pe´rez-Ruiz 等人,2006 年;Wood 等人,2003 年;Kim 和 Jang,2019 年)。功能上,2CP 在叶绿体中充当 FTR/Trx 途径和 NTRC 途径之间清除 H2O2 的关键氧化还原节点。它催化 H2O2 还原为 H2O,从而解毒过氧化氢(Mishra 等人,2015 年;Kim 和 Jang,2019 年)。遗传证据证实,NTRC 与 2CP 的相互作用构成了 NTRC 在氧化还原调节和抗氧化防御中发挥作用的分子基础(Pe´rez-Ruiz 等人,2017 年)。在拟南芥叶绿体中,NTRC 控制 2CP 的氧化还原状态,在黑暗中对 2CP 的还原起着关键作用(Kirchsteiger 等人,2009 年;Wang 等人,2021 年)。然而,NTRC 与 2CP 相互作用的分子机制仍不清楚,这极大地阻碍了对 NTRC 中心氧化还原功能的机制理解。在这项研究中,我们解析了与 FAD 辅因子复合的烟草弯胞菌 NTRC(NbNTRC)的 NTR 结构域的晶体结构。我们还通过体外实验进一步研究了 NbNTRC 与烟草弯胞菌 2CP(Nb2CP)之间的相互作用机制。我们的实验结果表明,NbNTRC 的 Trx 结构域足以与 Nb2CP 形成稳定的复合物,而 NbTrxC476S 突变体和 Nb2CPC121S 突变体均未检测到复合物形成。这明确表明 Cys476(位于 NbNTRC 的 Trx 结构域内)和 Cys121(位于 Nb2CP 中)是 NbNTRC 与 Nb2CP 相互作用的关键残基。值得注意的是,我们的差示扫描荧光(DSF)实验结果表明,这两个关键残基 Cys476(NbNTRC)和 Cys121(Nb2CP)在维持各自蛋白质的稳定性方面也起着至关重要的作用。最后,通过整合这些发现(Schro¨der 等人,2000 年;Zhang 等人,2009 年)以及相关实验数据,我们提出了 NbNTRC 与 Nb2CP 复合物的结构模型。

图 1
NbNTRC 的纯化及结构分析。(a)NbNTRC 和 Nb2CP 的结构域架构示意图。两个关键的半胱氨酸残基用红色五角星标记。(b)在 280 纳米处监测的尺寸排阻色谱(SEC)图谱,用于评估 NbNTRC83–548 的溶液性质(Superdex 200 Increase 10/300 GL 柱)。(c)从(b)中所示的峰组分收集的洗脱液的 SDS-PAGE 分析,确认蛋白质纯度和分子量。(d)适合 X 射线衍射分析的 NbNTRC 代表性晶体;比例尺代表 200 微米。(e)从 NbNTRC 晶体获得的代表性 X 射线衍射图样。
表 1
关于 NbNTRC83–548(PDB 条目 9vv4)的数据收集和优化统计。

括号中的值为最高分辨率壳层的值。
分别处于 Ramachandran 图中优势区、允许区和异常区的残基。
2. 方法
2.1. 蛋白质表达载体的构建
为避免由叶绿体转运肽(cTP)可能引发的溶解性问题,使用 ChloroP 1.1 对 NbNTRC 和 Nb2CP 的信号肽边界进行了预测,分别在第 1 至 81 位和第 1 至 69 位发现了 cTP。基于此预测,并结合疏水簇和二级结构分析(Lemesle-Varloot 等人,1990 年;Drozdetskiy 等人,2015 年),选择了对应于 NbNTRC 第 83 至 548 位残基的 DNA 序列,将其克隆到 pET-28a_His-TEV 载体中(Liu 等人,2023 年)。表达的 NbNTRC83–548 融合蛋白带有 N 端 6×His 标签,其后是 TEV 蛋白酶切割位点(Ma 等人,2021 年)。除了 NbNTRC83–548 之外,还使用 pET-28a_His-TEV 载体表达了蛋白质片段 NbNTRC83–431(NTR 结构域)、NbNTR C432–548(Trx 结构域)、Nb2CP70–269(以下简称为 Nb2CP)、NbNTRC Trx 结构域的两个突变体以及 Nb2CP 的两个突变体。对于Pull-down实验,使用一种称为 pET28a_MBP-TEV 的改良载体表达了融合蛋白 MBP-Trx 及其两个突变体,该载体带有 N 端 MBP 标签而非 6×His 标签(Yang 等人,2023 年)。
目标基因通过吉布森组装法(Gibson 等人,2009 年;Zhu 等人,2007 年)克隆到表达载体中。定点突变使用 Q5 定点突变试剂盒(New England Biolabs 公司)进行。新构建的载体被转化到大肠杆菌 DH5 细胞中,最后通过桑格测序进行鉴定。经测序验证的重组质粒随后用于蛋白质表达。
2.2. 蛋白质表达与纯化
重组质粒被转化到大肠杆菌 BL21 (DE3) 感受态细胞中以进行蛋白质表达。细胞在 1 - 3 升添加了卡那霉素的 LB 培养基中于 37°C 培养至 OD600值为 0.65 - 0.85。随后将培养物冷却至 18°C,并用 0.5 毫摩尔异丙基 -d-1- 硫代半乳糖苷(IPTG)诱导过夜表达(12 - 16 小时),同时摇动。通过在 4°C 下以 4000g 离心 20 分钟收集细胞,然后将沉淀物悬浮于裂解缓冲液 [20 毫摩尔磷酸盐缓冲盐水(PBS)pH 8.0,1 摩尔氯化钠,0.2 毫摩尔二硫苏糖醇(DTT),0.1% Triton X-100,1 毫摩尔苯甲基磺酰氟(PMSF)] 中,通过超声处理裂解细胞(Shang 等人,2024)。离心(20000 转/分钟,50 分钟,4°C)后,上清液进行亲和层析。
最初的亲和纯化策略基于 N 端标签。使用 Ni2+–NTA 树脂(赛默飞世尔)和纯化缓冲液(20 mM PBS pH 8.0,0.5 M NaCl)分别含 30 和 80 mM 的咪唑来纯化 6×His 标签蛋白,并用含 200 mM 咪唑的纯化缓冲液进行洗脱。MBP 标签蛋白使用淀粉酶树脂(NEB)进行纯化,并用含 20 mM 麦芽糖的纯化缓冲液进行洗脱。对于需要完整标签的实验,如Pull-down实验,纯化过程到此结束。
对于需要无标签蛋白的应用(例如结晶),在 4℃ 下用 TEV 蛋白酶过夜消化去除融合标签,消化液中蛋白与酶的比例为 10:1(质量比),缓冲液为 C 缓冲液(20 毫摩尔/升 PBS,pH 8.0,150 毫摩尔/升 NaCl)。分裂混合物通过 Ni2+–NTA 树脂(用于 6-His 标签蛋白)或依次通过直链淀粉和 Ni2+– NTA 树脂(用于 MBP 标签蛋白)以去除标签和蛋白酶。对于结晶试验,蛋白质在缓冲液 S(20 mM PBS pH 8.0,150 mM NaCl,1.5 mM DTT)中通过 Superdex 200 Increase 10/300 GL 柱进行尺寸排阻色谱(SEC)进一步纯化。
2.3. 结晶与结构测定
纯化的蛋白质溶液被浓缩至 8 - 10 毫克/毫升,用于初步结晶筛选。在筛选前,样品在 4℃下以 12000 转/分钟的速度离心 20 分钟,然后加入 1%(体积比)的 Halt 蛋白酶抑制剂混合物(赛默飞世尔科技)。在 48 孔坐滴式蒸汽扩散板中进行结晶试验,将 1 微升蛋白质溶液与 1 微升储液混合,密封板子并在 4℃或 16℃下孵育。每 48 小时监测一次晶体,筛选了超过 1000 种条件。
用于最终 X 射线衍射分析的黄色块状晶体(图 1d)是在优化的结晶条件下生长的,即 25% 聚乙二醇 8000、0.2 M 氯化钠、0.1 M 三羟甲基氨基甲烷(pH 8.5)。结晶时使用的蛋白质浓度为 5.9 毫克/毫升,蛋白质与结晶液的体积比为 2.2:1.2 毫升。晶体在 16℃下生长了约一个月。在结晶前向蛋白质溶液中添加 20 毫摩尔二硫苏糖醇(DTT)可改善晶体的大小和边缘锐度。晶体在收集数据前进行了快速冷却并储存在液氮中。
在上海同步辐射装置(SSRF)的 BL02U1 光束线上收集了 X 射线衍射数据。使用 HKL-2000 软件套件(Otwinowski & Minor, 1997; Minor et al., 2006)对数据进行了整合和标定。利用 CCP4 软件(Agirre et al., 2023),将 HKL-2000 生成的.sca 文件作为输入文件,并转换为相应的.mtz 文件。随后,使用预测的 NbNTRC NTR 结构域的 AlphaFold3 模型作为模板(Abramson et al., 2024),通过 BALBES(Long et al., 2008)进行分子置换,解决了 NbNTRC83–548 的结构。新生成的.pdb 文件首先使用 CCP4 软件包中的 REFMAC5 程序进行优化(Murshudov et al., 2011),随后使用 Phenix 软件包中的 phenix.refine 进行进一步优化和最终润色(Afonine et al., 2012)。最后在 Coot(Emsley et al., 2010)中进行了手动优化。本研究中所有的三维蛋白质结构图均使用 PyMOL 软件(版本 1.3;Schro¨dinger)生成。
2.4. 小角度 X 射线散射(SAXS)
为了探究 NbNTRC 的 NTR 结构域在自然溶液状态下的构象,我们在上海光源的 BL19U2 光束线上进行了小角度 X 射线散射(SAXS)测量(Wang 等人,2014 年;Graëwert 和 Svergun,2020 年;Rieloff 和 Skepo,2020 年)。我们使用了 100 毫升浓度为 2 毫克/毫升的 NbNTRC83–431 在缓冲液 S 中的溶液,并在 10℃下收集了该蛋白质的散射数据。散射数据使用 BioXTAS-RAW 1.6.0(Hopkins 等人,2017 年)进行处理。处理后的数据以及三种结构模型,即单体、不对称单元二聚体和晶体学二聚体,被提交到 FoXS 网络服务器(https://modbase.compbio.ucsf.edu/foxs/;Schneidman-Duhovny 等人,2010 年)进行比较分析。模型与数据之间的拟合优度通过卡方 (?2) 值进行量化。
2.5. Pull-down检测
Pull-down实验使用 His-Nb2CP、MBP-NbTrx 及其各自的突变体进行,这些蛋白的纯化方法如第 2.2 节所述。将 His-Nb2CP(或其突变体)与 MBP-NbTrx(或其突变体)以 4:1 的摩尔比混合,在结合缓冲液(20 mM PBS pH 8.0,50 mM NaCl)中于 4℃孵育 4 小时。然后向每种混合物中加入 100 μl 淀粉酶树脂,再于 4℃旋转孵育 1 小时。通过离心收集树脂,然后用 1 ml 含 0.1% Tween-20 的结合缓冲液洗涤三次,每次离心后弃去上清液。洗涤步骤完成后,向每组树脂中加入100 μl ddH2O 和 100 μl 5×上样缓冲液,加热进行 SDS-PAGE 样品制备。样品通过 SDS-PAGE 分离,转移到 PVDF 膜上,并用抗 His 和抗 MBP 一抗进行免疫印迹。
2.6. 微量热泳动
使用微量热泳动(MST)测定法(Entzian & Schubert,2016)测定了 Nb2CP 与其 NbNTRC 三肽重复结构域(NbTrx)及其突变体之间的解离常数 (Kd)。无标签的 Nb2CP(及其突变体)作为配体,而 His 标签的 NbTrx 蛋白在缓冲液 M(20 mM PBS pH 8.0,50 mM NaCl,0.05% Tween 20)中使用 Monolith His-Tag Labeling Kit RED-tris-NTA(每 100 毫升 100 nM 蛋白质使用 1 毫升染料)进行荧光标记。将配体蛋白(未标记的 Nb2CP 或其突变体)与标记蛋白(His-NbTrx/其突变体)以不同的摩尔比混合,然后在 4℃下孵育 20 分钟,再进行测量。所有 MST 测量均在 Monolith NT.115 仪器(NanoTemper,美国加利福尼亚州旧金山)上进行。所得数据集使用 MO.Affinity Analysis Software v.3.0 进行整合和分析,以得出结合曲线和解离常数 (Kd;Huang & Zhang,2021)。
2.7. 差示扫描荧光法 (DSF)
采用两种差示扫描荧光法(DSF)对目标蛋白的热稳定性进行了评估:蛋白质稳定性分析(PSA)和 ThermoFluor。首先,使用 PSA-16 仪器(北京佰司特科技有限责任公司)对目标蛋白的热稳定性进行了测定。将蛋白质样品(0.4 毫克/毫升)装入石英样品管(货号 LG-002,北京佰司特科技有限责任公司)中进行分析(Zhou 等人,2024 年)。蛋白质的稳定性在 30 至 90℃的线性升温过程中(升温速率为 1℃/分钟),于 350 纳米处监测内在荧光信号。根据 F350 曲线的斜率计算热变性中点温度(熔解温度Tm)(Rieser,2020)。每个样品测量四次。此外,我们还采用 ThermoFluor 法测定目标蛋白的熔解温度 (Tm)。在 ThermoFluor 实验中,将约 5 毫克/毫升的蛋白溶液与 SYPRO Orange 染料混合。取 20 微升置于板中,在 Thermo Scientific Fluoroscan FL 仪器上进行测量。在实验过程中,仪器实时监测荧光强度随温度升高的变化,生成蛋白质“熔解曲线”及其对应的导数曲线。目标蛋白的熔解温度 (Tm) 可通过熔解曲线的拐点或从一阶导数曲线的最小值(Ericsson,2006)。
3. 结果
3.1. NbNTRC 的纯化及结构测定
NbNTRC 蛋白由一个位于 N 端的叶绿体转运肽(cTP)组成,其后依次为 NADPH-硫氧还蛋白还原酶(NTR)结构域和硫氧还蛋白(Trx)结构域(图 1a)。在异源表达于大肠杆菌之前,cTP 序列被截断。NTR 结构域由一个 NADPH 结合域夹在两个 FAD 结合域之间,每个 NTR 结构域能够结合一个黄素腺嘌呤二核苷酸(FAD)分子(图 1a)。片段 NbNTRC83–548 被用于结晶筛选。SEC 洗脱的 NbNTRC83–548(51 kDa)显示出约 100 kDa 的表观分子量,与两个单体的质量相匹配,表明在溶液中形成了二聚体(图 1b)。对峰值馏分(洗脱体积 14.2 - 16.2 毫升)进行 SDS-PAGE 分析,证实目标蛋白的纯度大于 95%,表明该蛋白的均一性良好,适合进行结构研究(图 1c)。将 14.2 至 15.4 毫升的洗脱液浓缩用于结晶试验。经过广泛的筛选和优化,获得了表明存在 FAD 辅因子的大黄色晶体(图 1d)。在上海同步辐射装置(SSRF)收集的 X 射线衍射数据的分辨率为 3.54 A˚(图 1e)。该结构在 C222 1 空间群中解析,其 Rwork 和 Rfree 值分别为 0.227 和 0.269(表 1)。在该晶体结构的 PDB 验证报告中,L 测试统计值表明可能存在孪晶。我们使用扩展到 P1 的数据进行了分子置换计算,所获得的解与真实的 C222 1 对称性一致。这表明尽管有一些统计学上的孪晶迹象,但这种晶体形式不存在孪晶操作符。
3.2. NbNTRC 的 NTR 结构域结构及其溶液状态
在已解析的结构中,每个不对称单元包含两个 NbNTRC 亚基,仅能清晰观察到 99 - 421 位的残基,对应于 NTR 结构域(图 2a)。C 端的 Trx 结构域缺失。使用截短的 Trx 结构域 (NbNTRC432–548 或 Nb2CP - NbNTRC 432 - 548 复合物进行结晶尝试,仅得到衍射效果差的晶体,不适合进行结构测定。因此,我们推测无法解析 Trx 结构域主要是由于其内在的灵活性,这阻碍了高质量晶体的形成。此外,NbNTRC 的 NTR 和 Trx 结构域之间缺乏刚性二级结构,导致其高度灵活,从而阻碍了这两个结构域的共同结晶。这两个原体之间碳原子的叠加产生了 0.8 埃的均方根偏差(r.m.s.d.) 表明不对称单元内的两个 NTR 具有几乎相同的构象。与已报道的其他 NTR 结构一样,NbNTRC 的 NTR 结构域由两个 Rossmann 折叠组成(Marshall 等人,2019 年;Kamerzell 等人,2022 年;Zhang 等人,2009 年):一个 FAD 结合域(残基 99 - 219 和 343 - 421)和一个 NADPH 结合域(残基 220 - 342)(图 2b)。在此结构中,两个催化半胱氨酸残基(Cys236 和 Cys239)形成了一个二硫键,距离为 3.4 埃。
在 FAD 异咯嗪环与二硫键之间(图 2b)。
我们使用 PDBePISA(https://www.ebi.ac.uk/msd-srv/prot_int/pistart.html)来分析不对称单元二聚体中这两个单体之间的相互作用,发现其接触面积为 ?246.3 A˚2。该界面涉及精氨酸 224 和 311 至 316 位的残基,主要由氢键和范德华力构成(图 2c)。晶体堆积分析表明,来自相邻不对称单元的相邻单体相互结合形成新的二聚体(A-A0 单体和 B-B0 单体;图 2d 和 2e),我们将其称为晶体学二聚体(图 2e)。在晶体学二聚体中,FAD 结合域和 NADPH 结合域均参与二聚体的形成,总接触面积达到 ?2384.6 A˚2。这种二聚化类似于多种物种(如酿酒酵母、新型隐球菌和烟曲霉)中 NTR 结构域的二聚化(Marshall 等人,2019 年;Zhang 等人,2009 年)。将这些二聚体与 NbNTRC 进行结构比对晶体二聚体的均方根偏差(r.m.s.d.)值为 ?1.2 埃 ˚.在 相比之下,衣藻(Chlamydomonas reinhardtii)的 NTR 结构域(CrNTR;PDB 条目 7p9d)仅通过 FAD 结构域二聚化,其界面面积为 986 平方埃2,均方根偏差为 3.6 埃(Marchetti 等人,2022 年)。为了分析 NbNTRC NTR 结构域的溶液状态构象,我们对 NTR 溶液进行了小角 X 射线散射(SAXS)分析。使用 FoXS 服务器(https://modbase.compbio.ucsf.edu/foxs/)将处理后的 SAXS 数据与单体、不对称单元二聚体和晶体学二聚体这三种模型进行拟合。所得的 ?2 值分别为 31.9、7.83 和 1.25,表明晶体学二聚体与溶液数据的匹配度最高(图 2f–2h)。综上所述,这些发现表明在溶液中,NbNTRC NTR 结构域主要以类似于晶体学二聚体的构象存在。
3.3. NbNTRC 的氧化还原态分析
酵母中仅含 NTR 结构域的细胞质硫氧还蛋白还原酶 Trr1 的结构此前已解析出其黄素氧化(Fo)构象(PDB 编号 3d8x;Zhang 等人,2009 年)。将我们的 NbNTRC NTR 结构域与 Trr1 进行结构比对,其均方根偏差为 1.2 埃。 并且揭示了催化半胱氨酸的相似空间定位FAD 辅因子表明其采用了相同的构象状态(图 3a)。莱茵衣藻 NTRC 的 NTR 结构域(CrNTR;PDB 条目 7p9d)被认为代表了 NTR 介于黄素还原(Fr)和 Fo 构象之间的一种构象状态。马尔凯蒂及其同事将此称为“中间态”(Marchetti 等人,2022 年)。将 NbNTRC 的 NTR 结构与 CrNTR 结构进行叠加,得到的均方根偏差(r.m.s.d.)值为 3.6 埃。 表明尽管 FAD 结合域和 FAD 分子重叠良好,但 CrNTR 中的 NADPH 结合域相对于 NbNTRC 下降了约 15°。这种旋转使两个催化半胱氨酸向下移动了约 8.6 埃。 (图 3b)与……对齐 大肠杆菌 NTR(EcNTR;PDB 条目 1f6m;Lennon 等人,2000 年)的 Fr 构象的均方根偏差为 4.8 埃 ;作为 FAD-当结合域紧密对齐时,与 NbNTRC 相比,EcNTR 中的 NADPH 结合域向下旋转了约 30°,导致催化半胱氨酸的位移约为 14 A˚(图 3c)。这些结果共同证实,解析出的 NbNTRC NTR 结构域结构代表了 Fo 构象。在此状态下,催化半胱氨酸以二硫键的形式存在于异咯嗪环附近,使还原型 FAD 醌氢能够将电子转移至二硫键。然而,这种构象将活性位点的半胱氨酸隔离在 NADPH 结合域和 FAD 结合域之间,空间上阻碍了硫氧还蛋白(Trx)的接近。正如 CrNTRC 和 EcNTR 的结构所示(Lennon 等人,2000 年;Zhang 等人,2009 年;Marchetti 等人,2022 年),NADPH 结合域的大旋转运动被认为是暴露活性位点以促进 Trx 结合和氢负离子转移所必需的。

图 2
(a)NbNTRC 的最终三级结构,显示每个不对称单元中有两个 NTR 结构域,两个结合的 FAD 分子以棍状表示。FAD 结合结构域在单体 A 中呈天蓝色,在单体 B 中呈蓝色。NADPH 结合结构域在单体 A 中呈麦黄色,在单体 B 中呈橙色。(b)NTR 结构域的结构细节。两个催化半胱氨酸残基 Cys236 和 Cys239 形成一个二硫键,以红色棍状表示。(c)不对称单元内的 NTR-NTR 相互作用。单体 A(棍状表示)和单体 B(棍状表示并标注氨基酸)上的关键相互作用残基显示。(d)由晶体堆积形成的新型二聚体。
3.4. 体外研究 NbNTRC 与 Nb2CP 相互作用的关键作用域
先前的研究表明,NTRC 是 2CP 的高效还原剂,这一点已通过实验证实。在体外和体内(Naranjo、Diaz-Espejo 等人,2016 年;Pe´rez-Ruiz 等人,2017 年;Naranjo、Migne´e 等人,2016 年)。然而,NbNTRC 与 Nb2CP 之间相互作用的确切分子机制尚未得到探索,这是本研究的关键目标。
为了评估 NbNTRC 结构域(不包括叶绿体转运肽)对 Nb2CP 结合的贡献,我们纯化了全长 NbNTRC(83 至 548 位残基,分子量 51 千道尔顿)、NTR 结构域(83 至 431 位残基,37.5 千道尔顿)、Trx 结构域(432 至 548 位残基,13.4 千道尔顿)以及 Nb2CP 蛋白(70 至 269 位残基,22.2 千道尔顿)(图 4a)。SDS-PAGE 对峰值组分的分析证实了其均一性(图 4b)。Nb2CP 的洗脱体积对应于 220 千道尔顿的质量,表明其在溶液中以十聚体形式存在(图 4a),这与在人类红细胞、酵母和拟南芥等其他物种中报道的环状十聚体结构一致(Schro¨der 等人,2000 年;Jang 等人,2004 年;Yang 等人,2018 年)。尺寸排阻色谱(SEC)结果表明,NbNTRC 和 NbNTR 在溶液中以二聚体形式存在(图 4a)。与水稻和拟南芥中的 NTRC 类似(Kirchsteiger 等人,2009 年;Pe´rez-Ruiz 等人,2009 年),NbNTRC 通过其 NTR 结构域二聚化。然而,NbNTRC 的寡聚化程度极低,超过 95%为二聚体(图 1b)。相比之下,水稻 NTRC 在没有还原剂的情况下会形成寡聚体,而 NbNTRC 则保持二聚体状态(图 2h 和 4a),这表明它们的 NTR 结构域具有不同的寡聚化能力(Pe´rez-Ruiz & Cejudo, 2009)。

图 2(续)
(e)晶体学二聚体示意图。(f - h)小角 X 射线散射拟合结果:实验数据(黑色点)与单体模型(蓝色)(f)、不对称单元二聚体模型(棕红色)(g)和晶体学二聚体模型(绿色)(h)的理论曲线对比。
尺寸排阻色谱(SEC)分析表明,NbNTRC/Nb2CP 混合物的洗脱位置明显更靠前(峰值在 10.2 毫升),与单独的 NbNTRC(15 毫升)或单独的 Nb2CP(13.5 毫升)相比(图 4a 和 4c)。在 SEC 中,NbNTRC–Nb2CP 的洗脱位置对应于约 ?700 千道尔顿的分子量,这与 NbNTRC–Nb2CP 十聚体的大小(730 千道尔顿)相似(图 4c)。研究表明,拟南芥 NTRC 的存在可以将部分拟南芥 2CP 二聚体还原为单体形式(Kirchsteiger 等人,2009 年)。然而,NbNTRC 的结合似乎并未影响 Nb2CP 的十聚体结构。对这一移位的 SEC 峰进行 SDS-PAGE 分析,显示 NbNTRC(略强)和 Nb2CP 的条带强度相关(图 4d),这证实了 1:1 复合物的有效形成。同样,NbNTRC Trx 结构域与 Nb2CP 共孵育也导致 SEC 峰移至 11.3 毫升,比单独的蛋白质更靠前(图 4a 和 4c)。该峰的 SDS-PAGE 分析也证实了复合物的形成(图 4d)。相反,NbNTRC NTR 结构域与 Nb2CP 共孵育产生的 SEC 图谱具有两个明显的峰,与单独蛋白质的洗脱位置非常接近(图 4a 和 4c)。此外,SDS-PAGE 分析显示,在洗脱组分中,NbNTR 结构域与 Nb2CP 之间不存在相关条带强度模式(图 4d),表明两者之间无显著相互作用。综上所述,这些结果表明,Nb2CP 以寡聚体形式特异性地与 Trx 结构域相互作用。与 NbNTRC 形成高分子量的寡聚复合物,其表观结合比为 1:1。

图 3
NbNTRC NTR 结构域的晶体结构代表了黄素氧化(Fo)构象。(a)NbNTRC NTR 结构域与处于黄素氧化(Fo)构象的 Trr1(PDB 条目 3d8x,浅绿色)的结构比对。(b)基于 FAD 结合域对 NbNTRC NTR 结构域与处于“中间态”构象的 CrNTR(PDB 条目 7p9d)进行的结构比对。两个催化半胱氨酸残基的位移约为 8.6 埃。(c)基于 FAD 结合域对 NbNTRC NTR 结构域与大肠杆菌 NTR(EcNTR;PDB 条目 1f6m)的 Fr 构象进行的结构比对。两个催化半胱氨酸残基的位移约为 14 埃。

图 4
体外实验证实,NbNTRC 的 Trx 结构域是与 Nb2CP 相互作用的关键功能结构域。(a)在 280 纳米吸光度下监测的纯化 NbNTRC、NbNTRC Trx 结构域、NbNTRC NTR 结构域和 Nb2CP 的尺寸排阻色谱(SEC)洗脱曲线。标准蛋白质的洗脱体积以千道尔顿为单位标注在色谱图上。(b)对应于(a)的洗脱峰的十二烷基硫酸钠-聚丙烯酰胺凝胶电泳(SDS-PAGE)分析,随后进行考马斯亮蓝(CBB)染色。(c)在 20 毫摩尔磷酸盐缓冲液(pH 8.0)含 150 毫摩尔氯化钠中孵育后,Nb2CP 分别与全长 NbNTRC、其 Trx 结构域或其 NTR 结构域(1:1 摩尔比)混合物的 SEC 曲线。(d)对应于(c)的洗脱峰的 SDS-PAGE 分析,随后进行 CBB 染色。
3.5. 鉴定介导体外 NbNTRC Trx 结构域与 Nb2CP 相互作用的关键半胱氨酸残基
半胱氨酸残基的氧化还原状态对于 NTRC 和过氧化物酶(如 2CP)的功能至关重要(Li 等人,2020 年;Kim 和 Jang,2019 年;Kirchsteiger 等人,2009 年)。为了确定特定的半胱氨酸残基是否控制 NbNTRC 与 Nb2CP 之间的分子间相互作用,我们系统地研究了 NbNTRC Trx 结构域内的 Cys473 和 Cys476 以及 Nb2CP 中的 Cys121 和 Cys243 的作用。尺寸排阻色谱(SEC)分析表明,将 Nb2CPC243S 与野生型 NbTrx 结构域共孵育,或野生型 Nb2CP 与 NbTrxC473S 共孵育,形成了与野生型(WT)蛋白一致的稳定复合物(图 5a)。SDS-PAGE 分析进一步证实了复合物峰内两种蛋白质的条带强度变化相关(图 5b)。相反,将 Nb2CPC121S 与野生型 NbTrx 共孵育,或野生型 Nb2CP 与 NbTrxC476S 共孵育,得到的 SEC 图谱中缺乏这种复合峰,显示出对应于各自蛋白质的单独峰(图 5a)。

图 5
半胱氨酸残基 Cys121(Nb2CP)或 Cys476(NbTrx)对于 Nb2CP–NbTrx 复合物的形成至关重要。 (a) 利用尺寸排阻色谱(SEC)研究了 NbNTRC Trx 结构域中 Cys473 和 Cys476 以及 Nb2CP 中 Cys121 和 Cys243 的突变对 NbTrx–Nb2CP 分子间相互作用的影响。 (b) 通过 SDS–PAGE 分析并结合考马斯亮蓝(CBB)染色来检测 (a) 中所示的相应洗脱峰。 (c) 采用Pull-down实验结合蛋白质印迹法来检测 NbTrx 或 Nb2CP 突变体对 NbTrx–Nb2CP 分子间相互作用的影响。 (d) 定量测定 Nb2CP–NbTrx 与相关突变体之间的解离常数 (Kd)。所有实验均重复三次。
对这些样品进行的 SDS-PAGE 分析表明,这些分数显示条带强度模式无相关性(图 5b),表明相互作用已消除。这些结果表明,Nb2CP 中的 Cys243 或 NbTrx 结构域中的 Cys473 发生突变不会阻止复合物的形成,而 Nb2CP 中的 Cys121 或 NbTrx 结构域中的 Cys476 发生突变则会完全破坏 Nb2CP 与 NbTrx 之间的相互作用。
使用带有 6-His 标签的 Nb2CP(及其突变体)和带有 MBP 标签的 NbTrx 结构域(及其突变体)进行了互补Pull-down实验,随后在淀粉糖原树脂上进行亲和纯化。蛋白质印迹分析证实,Nb2CP 中的 Cys243 或 NbTrx 中的 Cys473 发生突变不会影响结合,而 Nb2CP 中的 Cys121 或 NbTrx 中的 Cys476 发生突变则完全消除了相互作用(图 5c)。此外,微量热泳动仪(MST)测定了解离常数 (Kd),结果显示,与野生型复合物(Kd = 13.6 ± 3.2 mM)相比,Nb2CP–NbTrx C243S(Kd = 62.4 ± 15.9 mM)和 Nb2CP–NbTrx C473S(Kd = 28.4 ± 5.2 mM)的亲和力仅有轻微变化。与此形成鲜明对比的是,Nb2CP–NbTrx C121S 或 Nb2CP–NbTrx C476S 对的结合未被检测到(图 5d),这与我们之前的结果一致。综上所述,这些发现表明,Nb2CP 中的 Cys121 和 NbNTRC Trx 结构域中的 Cys476(图 1a)对于复合物的形成是必不可少的,而 Cys243(Nb2CP)和 Cys473(NbTrx)则起非关键作用。
3.6. 关键半胱氨酸残基的突变显著影响 NTRC 和 2CP 的稳定性
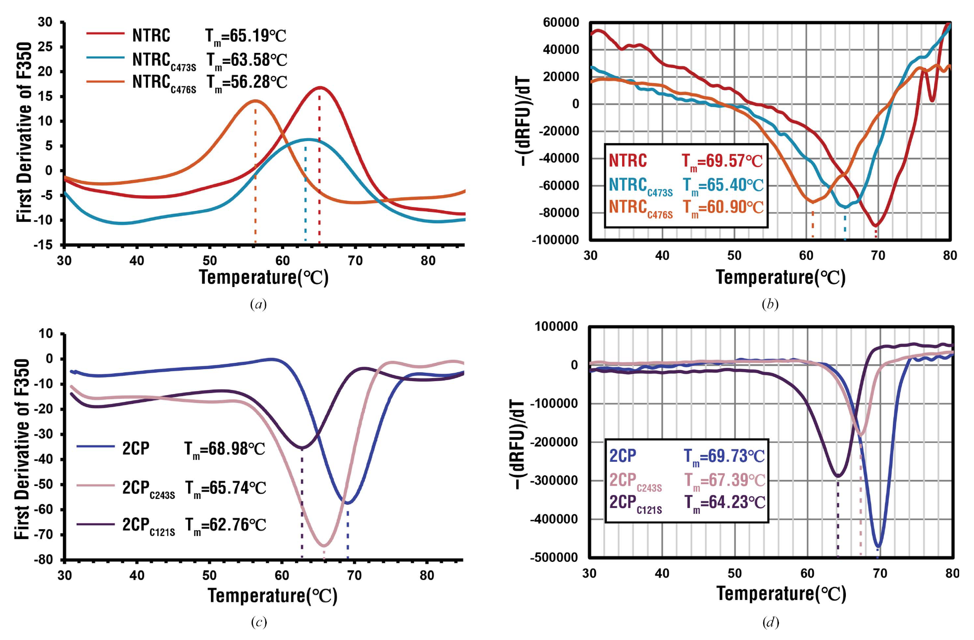
我们采用 PSA 和 ThermoFluor 检测法来评估 NbNTRC 中的单个突变 C473S 或 C476S 以及 Nb2CP 中的 C121S 或 C243S 对各自热稳定性的影响。这两种技术均通过测定热变性温度 (Tm) 来定量评估蛋白质的稳定性。
在 PSA 和 ThermoFluor 检测中,NbNTRCC473S 相较于野生型 NbNTRC,其 Tm 仅略有下降,而 NbNTRCC476S 则出现了显著的降低。具体而言,NbNTRC 中 Cys476 的突变使 Tm 值在 PSA 检测中下降了 8.91℃,在 ThermoFluor 检测中下降了 8.67℃,这表明该突变极大地削弱了其结构稳定性(图 6a 和 6b)。同样,我们评估了 Nb2CP 及其突变体的热稳定性。与野生型 Nb2CP 相比, Mutant Nb2CPC243S下降幅度相对较小,在 PSA 检测中下降了 3.24℃,在 ThermoFluor 检测中下降了 2.34℃(图 6c 和 6d)。相反, 突变体Nb2CPC121S 则出现了更为明显的稳定性下降,其 Tm 值在 PSA 和 ThermoFluor 检测中,温度分别下降了 6.22℃ 和 5.5℃(图 6c 和 6d)。值得注意的是,半胱氨酸 121 位于特征性的 PxxxTxxC 基序(Hall 等人,2010 年)内,由保守的苏氨酸(-3)和脯氨酸(-7)残基确定,表明半胱氨酸 121 是 Nb2CP 中的关键过氧化半胱氨酸(Cp)。结合我们之前关于这些半胱氨酸在介导 NbNTRC - Nb2CP 相互作用中的作用的研究结果(图 5),这些结果表明,NbNTRC 中的半胱氨酸 476 和 Nb2CP 中的半胱氨酸 121(图 1a)不仅对各自蛋白质的结构稳定性至关重要,而且对促进它们的功能性相互作用也起着关键作用。

图 6
Nb2CP 中的 Cys121 和 NbTrx 中的 Cys476 对各自蛋白质的内在稳定性至关重要。 (a) 通过 PSA 对 NbNTRC、NbNTRCC473S 和 NbNTRCC476S 进行的热稳定性测定。每条曲线的转变温度 (Tm) 在图中均有明确标注。 (b) 通过 ThermoFluor 对 NbNTRC、NbNTRCC473S 和 NbNTRCC476S 进行的热稳定性测定。 (c) 通过 PSA 对 Nb2CP、Nb2CPC121S 和 Nb2CPC243S 进行的热稳定性测定。 (d) 通过 ThermoFluor 对 Nb2CP、 Nb2CPC121S 和 Nb2CPC243S 进行的热稳定性测定。
3.7. NTRC–2CP 复合模型的预测与分析
我们使用 AlphaFold3(AF3)预测了 Nb2CP 和 NbNTRC 1 比例形成的异二聚体的结构。然后,我们对 AF3 生成的多个预测结果进行了筛选。最终,我们选择了一个上述两个关键半胱氨酸残基彼此靠近的模型,并将其作为基础在 Coot 中构建了 Nb2CP–NbNTRC 的十聚体模型(Emsley 等人,2010 年)。该构建整合了 AF3 预测结果以及我们之前的研究成果,并结合了过氧化物酶体复合物(Jo¨nsson 等人,2008 年;Charoenwattanasatien 等人,2020 年)和不同物种的 2CP 十聚体模型(Yang 等人,2018 年;Schro¨der 等人,2000 年)的已解析结构模型。最终的 NbNTRC–Nb2CP 复合物模型由十个异二聚体或单体组成,每个异二聚体或单体由一个 NbNTRC 分子和一个 Nb2CP 分子构成(图 7a)。在该模型中,十个 Nb2CP 分子形成一个中心环状结构,而 NbNTRC 分子则通过其 Trx 结构域与 Nb2CP 的相互作用而外周排列(图 7a)。NbNTRC 的 Trx 结构域中的 Cys476 与 Nb2CP 中的 Cys121 形成的二硫键对于复合物的稳定至关重要(图 7b)。

图 7
Nb2CP - NbNTRC 复合物的预测结构模型。(a)该复合物模型(从顶部和正面视图展示)由十个异二聚体或原体(每个包含一个 Nb2CP 和一个 NbNTRC)组成。NbNTRC 和 Nb2CP 蛋白质的结构域根据右侧的图例用不同颜色编码。使用两种颜色来表示 Nb2CP 是为了清晰地展示 Nb2CP 十聚体的两层结构;两种颜色的 Nb2CP 蛋白质是相同的。在正面视图中,一个原体的各组分被标注,NTR-N 和 NTR-F 分别表示 NADPH 结合域和 FAD 结合域。(b)复合物模型中 Cys121(Nb2CP)和 Cys476(NbNTRC)之间形成的分子间二硫键的详细视图,该键以棒状模型显示。这些图像是使用 PyMOL(版本 1.3;Schro¨ dinger)生成的。
4. 讨论
在本研究中,我们采用 X 射线衍射晶体学(图 1d 和 1e)确定了 NbNTRC 的 NTR 结构域的结构。在每个不对称单元中,有两份 NbNTRC NTR 结构域蛋白,每份结合一个 FAD 分子(图 2a)。结合尺寸排阻色谱(SEC)和小角 X 射线散射(SAXS)实验的结果,本研究揭示 NbNTRC NTR 结构域蛋白主要呈现类似于晶体二聚体的构象(图 1b 和 2h)。随后,将 NbNTRC NTR 结构域与来自其他物种的 NTR 结构域(Zhang 等人,2009 年;Marchetti 等人,2022 年;Lennon 等人,2000 年)在 Fo 构象(PDB 条目 3d8x)、“中间态”构象(PDB 条目 7p9d)和 Fr 构象(PDB 条目 1f6m)(图 3)进行了比较。结果表明,本研究解析的 NbNTRC NTR 结构对应于 Fo 构象。在此构象中,催化性半胱氨酸在异咯嗪环附近形成二硫键,有助于从还原态的 FAD 醌向该二硫键转移电子(图 3a)。
通过尺寸排阻色谱(SEC)对 Nb2CP 单体洗脱体积的分析表明,Nb2CP 在溶液中形成分子量超过 200 kDa 的寡聚体,这与 Nb2CP 十聚体的质量相当,表明 Nb2CP 在溶液中以十聚体寡聚体的形式存在(图 4a)。NbNTRC–Nb2CP 复合物在 SEC 上的洗脱体积及其 SDS–PAGE 分析结果(图 4c 和 4d)表明,NbNTRC 和 Nb2CP 在溶液中以 1:1 摩尔比形成分子量大于 669 kDa 的寡聚体,这与 NbNTRC–Nb2CP 十聚体的分子量相对应。这些结果表明,NbNTRC 的结合并未改变 Nb2CP 的十聚体寡聚状态,而是 NbNTRC 和 Nb2CP 一起形成了更大的十聚体复合物。
来自 SEC、Pull-Dwon和 MST 实验的结果一致表明,Nb2CP 中 121 位的半胱氨酸残基以及 NbNTRC 中 Trx 结构域内 476 位的半胱氨酸残基对于 NbNTRC - Nb2CP 复合物的形成至关重要(图 1a 和 5)。来自 PSA 和 ThermoFluor 检测的结果进一步表明,NbNTRC 中的 Cys476 和 Nb2CP 中的 Cys121 显著影响各自蛋白质的热稳定性。综上所述,这些结果表明 NbNTRC Trx 中的 Cys476 和 Nb2CP 中的 Cys121(过氧化半胱氨酸)对于蛋白质的稳定性和其复合物的组装都是必需的。
最后,基于本研究的发现以及经典的 OsNTRC 反应机制模型(Bernal-Bayard 等人,2012 年;Pe´rez-Ruiz 和 Cejudo,2009 年),我们提出了 NbNTRC 的反应机制。在该模型中,NbNTRC 在 Nb2CP 的协助下,与 Nb2CP 环状结构的外侧结合(图 7)。这种大复合物的结构可能有利于调节氧化还原动力学。电子依次从 NADPH 转移到 NbNTRC 的 NTR 结构域中的 FAD 分子,然后转移到 NTR 结构域内的活性二硫键,接着转移到相邻NbNTRC 分子的 Trx 结构域内的活性二硫键,最后转移到 Nb2CP 蛋白质内的活性二硫键。
参考文献
Abramson, J., Adler, J., Dunger, J., Evans, R., Green, T., Pritzel, A., Ronneberger, O., Willmore, L., Ballard, A. J., Bambrick, J., Bodenstein, S. W., Evans, D. A., Hung, C. C., O’Neill, M., Reiman, D., Tunyasuvunakool, K., Wu, Z., Zˇemgulyte˙, A., Arvaniti, E., Beattie, C., Bertolli, O., Bridgland, A., Cherepanov, A., Congreve, M., Cowen-Rivers, A. I., Cowie, A., Figurnov, M., Fuchs, F. B., Gladman, H., Jain, R., Khan, Y. A., Low, C. M. R., Perlin, K., Potapenko, A., Savy, P., Singh, S., Stecula, A., Thillaisundaram, A., Tong, C., Yakneen, S., Zhong, E. D., Zielinski, M., Zˇı´dek, A., Bapst, V., Kohli, P., Jaderberg, M., Hassabis, D. & Jumper, J. M. (2024). Nature, 630, 493–500.
Afonine, P. V., Grosse-Kunstleve, R. W., Echols, N., Headd, J. J., Moriarty, N. W., Mustyakimov, M., Terwilliger, T. C., Urzhumtsev, A., Zwart, P. H. & Adams, P. D. (2012). Acta Cryst. D68, 352–367.
Agirre, J., Atanasova, M., Bagdonas, H., Ballard, C. B., Basle´, A., Beilsten-Edmands, J., Borges, R. J., Brown, D. G., Burgos-Ma´rmol, J. J., Berrisford, J. M., Bond, P. S., Caballero, I., Catapano, L., Chojnowski, G., Cook, A. G., Cowtan, K. D., Croll, T. I., Debrec- zeni, J. E´., Devenish, N. E., Dodson, E. J., Drevon, T. R., Emsley, P., Evans, G., Evans, P. R., Fando, M., Foadi, J., Fuentes-Montero, L., Garman, E. F., Gerstel, M., Gildea, R. J., Hatti, K., Hekkelman, M. L., Heuser, P., Hoh, S. W., Hough, M. A., Jenkins, H. T., Jime´nez, E., Joosten, R. P., Keegan, R. M., Keep, N., Krissinel, E. B., Kolenko, P., Kovalevskiy, O., Lamzin, V. S., Lawson, D. M., Lebedev, A. A., Leslie, A. G. W., Lohkamp, B., Long, F., Maly´, M.,McCoy, A. J., McNicholas, S. J., Medina, A., Milla´n, C., Murray, J. W., Murshudov, G. N., Nicholls, R. A., Noble, M. E. M., Oeffner, R., Pannu, N. S., Parkhurst, J. M., Pearce, N., Pereira, J., Perrakis, A., Powell, H. R., Read, R. J., Rigden, D. J., Rochira, W., Sammito, M., Sa´nchez Rodrı´guez, F., Sheldrick, G. M., Shelley, K. L., Simkovic, F., Simpkin, A. J., Skubak, P., Sobolev, E., Steiner, R. A., Stevenson, K., Tews, I., Thomas, J. M. H., Thorn, A., Valls, J. T., Uski, V., Uso´n, I., Vagin, A., Velankar, S., Vollmar, M., Walden, H., Waterman, D., Wilson, K. S., Winn, M. D., Winter, G., Wojdyr, M. & Yamashita, K. (2023). Acta Cryst. D79, 449–461.
Bernal-Bayard, P., Herva´s, M., Cejudo, F. J. & Navarro, J. A. (2012). J. Biol. Chem. 287, 33865–33872.
Charoenwattanasatien, R., Zinzius, K., Scholz, M., Wicke, S., Tanaka, H., BrandeNburg, J. S., Marchetti, G. M., Ikegami, T., Matsumoto, T., Oda, T., Sato, M., Hippler, M. & Kurisu, G. (2020). J. Biol. Chem. 295, 170–180.
Deutsch, C. A., Tewksbury, J. J., Tigchelaar, M., Battisti, D. S., Merrill, S. C., Huey, R. B. & Naylor, R. L. (2018). Science, 361, 916–919.
Dietz, K. J., Mittler, R. & Noctor, G. (2016). Plant Physiol. 171, 1535– 1539.
Drozdetskiy, A., Cole, C., Procter, J. & Barton, G. J. (2015). Nucleic Acids Res. 43, W389–W394.
Emsley, P., Lohkamp, B., Scott, W. G. & Cowtan, K. (2010). Acta Cryst. D66, 486–501.
Entzian, C. & Schubert, T. (2016). Methods, 97, 27–34.
Ericsson, U. B., Hallberg, B. M., DeTitta, G. T., Dekker, N. & Nordlund, P. (2006). Anal. Biochem. 357, 289–298.
Gibson, D. G., Young, L., Chuang, R. Y., Venter, J. C., Hutchison, C. A. & Smith, H. O. (2009). Nat. Methods, 6, 343–345.
Gong, Z. (2021). J. Integr. Plant Biol. 63, 429–430.
Gra¨wert, T. W. & Svergun, D. I. (2020). J. Mol. Biol. 432, 3078– 3092.
Hall, A., Parsonage, D., Poole, L. B. & Karplus, P. A. (2010). J. Mol. Biol. 402, 194–209.
Hopkins, J. B., Gillilan, R. E. & Skou, S. (2017). J. Appl. Cryst. 50,1545–1553.
Huang, L. & Zhang, C. (2021). Methods Mol. Biol. 2213, 187–193.
Jang, H. H., Lee, K. O., Chi, Y. H., Jung, B. G., Park, S. K., Park, J. H., Lee, J. R., Lee, S. S., Moon, J. C., Yun, J. W., Choi, Y. O., Kim, W. Y., Kang, J. S., Cheong, G. W., Yun, D. J., Rhee, S. G., Cho, M. J. & Lee, S. Y. (2004). Cell, 117, 625–635.
Jo¨nsson, T. J., Johnson, L. C. & Lowther, W. T. (2008). Nature, 451,98–101.
Kamerzell, T. J., Mikell, B., Chen, L., Elias, H., Dawn, B., MacRae, C. & Middaugh, C. R. (2022). Adv. Protein Chem. Struct. Biol. 130,189–243.
Kim, Y. & Jang, H. H. (2019). Antioxidants, 8, 169.
Kirchsteiger, K., Ferra´ndez, J., Pascual, M. B., Gonza´lez, M. & Cejudo, F. J. (2012). Plant Cell, 24, 1534–1548.
Kirchsteiger, K., Pulido, P., Gonza´lez, M. & Cejudo, F. J. (2009). Mol. Plant. 2, 298–307.
Lemesle-Varloot, L., Henrissat, B., Gaboriaud, C., Bissery, V., Morgat, A. & Mornon, J. P. (1990). Biochimie, 72, 555–574.
Lennicke, C. & Cocheme´, H. M. (2021). Mol. Cell, 81, 3691–3707. Lennon, B. W., Williams, C. H. Jr & Ludwig, M. L. (2000). Science, 289, 1190–1194.
Li, M., Wang, J., Xu, W., Wang, Y., Zhang, M. & Wang, M. (2020). FEBS Lett. 594, 1550–1563.
Liu, Y., Ma, L., Li, M., Tian, Z., Yang, M., Wu, X., Wang, X., Shang, G., Xie, M., Chen, Y., Liu, X., Jiang, L., Wu, W., Xu, C., Xia, L., Li, G., Dai, S. & Chen, Z. (2023). Nucleic Acids Res. 51, 1443–1457.
Long, F., Vagin, A. A., Young, P. & Murshudov, G. N. (2008). Acta Cryst. D64, 125–132.
Ma, J., Chen, Y., Wu, W. & Chen, Z. (2021). Virol. Sin. 36, 1104–1112. Marchetti, G. M., Fu¨sser, F., Singh, R. K., Brummel, M., Koch, O.,Ku¨mmel, D. & Hippler, M. (2022). J. Struct. Biol. 214, 107829.
Marshall, A. C., Kidd, S. E., Lamont-Friedrich, S. J., Arentz, G., Hoffmann, P., Coad, B. R. & Bruning, J. B. (2019). Antimicrob. Agents Chemother. 63, e02281-18.
Medina-Puche, L., Tan, H., Dogra, V., Wu, M., Rosas-Diaz, T., Wang, L., Ding, X., Zhang, D., Fu, X., Kim, C. & Lozano-Duran, R. (2020). Cell, 182, 1109–1124.
Minor, W., Cymborowski, M., Otwinowski, Z. & Chruszcz, M. (2006). Acta Cryst. D62, 859–866.
Mishra, M., Jiang, H., Wu, L., Chawsheen, H. A. & Wei, Q. (2015). Cancer Lett. 366, 150–159.
Murshudov, G. N., Skuba´k, P., Lebedev, A. A., Pannu, N. S., Steiner, R. A., Nicholls, R. A., Winn, M. D., Long, F. & Vagin, A. A. (2011). Acta Cryst. D67, 355–367.
Naranjo, B., Diaz-Espejo, A., Lindahl, M. & Cejudo, F. J. (2016). J. Exp. Bot. 67, 1951–1964.
Naranjo, B., Migne´e, C., Krieger-Liszkay, A., Hornero-Me´ndez, D., Gallardo-Guerrero, L., Cejudo, F. J. & Lindahl, M. (2016). Plant Cell Environ. 39, 804–822.
Ojeda, V., Pe´rez-Ruiz, J. M., Gonza´lez, M., Na´jera, V. A., Sahrawy, M., Serrato, A. J., GeigeNberger, P. & Cejudo, F. J. (2017). Plant Physiol. 174, 1436–1448.
Otwinowski, Z. & Minor, W. (1997). Methods Enzymol. 276, 307–326. Pe´rez-Ruiz, J. M. & Cejudo, F. J. (2009). FEBS Lett. 583, 1399–1402. Pe´rez-Ruiz, J. M., Gonza´lez, M., Spı´nola, M. C., Sandalio, L. M. & Cejudo, F. J. (2009). Mol. Plant, 2, 457–467.
Pe´rez-Ruiz, J. M., Naranjo, B., Ojeda, V., Guinea, M. & Cejudo, F. J.
(2017). Proc. Natl Acad. Sci. USA, 114, 12069–12074.
Pe´rez-Ruiz, J. M., Spı´nola, M. C., Kirchsteiger, K., Moreno, J., Sahrawy, M. & Cejudo, F. J. (2006). Plant Cell, 18, 2356–2368.
Raza, A., Li, Y., Prakash, C. S. & Hu, Z. (2025). Trends Plant Sci. 30,1079–1084.
Rieloff, E. & Skepo¨, M. (2020). Methods Mol. Biol. 2141, 271–283.
Rieser, R., Penaud-Budloo, M., Bouzelha, M., Rossi, A., Menzen, T., Biel, M., Bu¨ning, H., Ayuso, E., Winter, G. & Michalakis, S. (2020). J. Pharm. Sci. 109, 854–862.
Schneidman-Duhovny, D., Hammel, M. & Sali, A. (2010). Nucleic Acids Res. 38, W540–W544.
Schro¨der, E., Littlechild, J. A., Lebedev, A. A., Errington, N., Vagin, A. A. & Isupov, M. N. (2000). Structure, 8, 605–615.
Serrato, A. J., Pe´rez-Ruiz, J. M., Spı´nola, M. C. & Cejudo, F. J. (2004). J. Biol. Chem. 279, 43821–43827.
Shang, G., Yang, M., Li, M., Ma, L., Liu, Y., Ma, J., Chen, Y., Wang, X., Fan, S., Xie, M., Wu, W., Dai, S. & Chen, Z. (2024). Int. J. Mol. Sci. 25, 686.
Thorma¨hlen, I., Meitzel, T., Groysman, J., O¨chsner, A. B., von
Roepenack-Lahaye, E., Naranjo, B., Cejudo, F. J. & GeigeNberger, P. (2015). Plant Physiol. 169, 1766–1786.
Wang, G., He, Q., Feng, C., Liu, Y., Deng, Z., Qi, X., Wu, W., Mei, P. & Chen, Z. (2014). J. Biol. Chem. 289, 27924–27936.
Wang, X., Jiang, Z., Yue, N., Jin, X., Zhang, X., Li, Z., Zhang, Y., Wang, X. B., Han, C., Yu, J. & Li, D. (2021). EMBO J. 40, e107660. Wood, Z. A., Schro¨der, E., Harris, J. R. & Poole, L. B. (2003). Trends Biochem. Sci. 28, 32–40.
Yang, M., Li, X., Tian, Z., Ma, L., Ma, J., Liu, Y., Shang, G., Liang, A., Wu, W. & Chen, Z. (2023). Int. J. Mol. Sci. 24, 3368.
Yang, Y., Cai, W., Wang, J., Pan, W., Liu, L., Wang, M. & Zhang, M.
(2018). Acta Cryst. F74, 625–631.
Yoshida, K., Yokochi, Y., Tanaka, K. & Hisabori, T. (2022). J. Biol. Chem. 298, 102650.
Zhang, Z., Bao, R., Zhang, Y., Yu, J., Zhou, C. Z. & Chen, Y. (2009). Biochim. Biophys. Acta, 1794, 124–128.
Zhou, D., Cheng, R., Yao, Y., Zhang, G., Li, X., Wang, B., Wang, Y., Yu, F., Yang, S., Liu, H., Gao, G., Peng, Y., Chen, M., Deng, Z. & Zhao, H. (2024). npj Vaccines, 9, 158.
Zhu, B., Cai, G., Hall, E. O. & Freeman, G. J. (2007). BioTechniques, 43, 354–359.
北京佰司特科技有限责任公司于2023年10月01日,推出了自主研发的第一款国产的基于内源差示扫描荧光技术(intrinsic fluorescence DSF)的蛋白稳定性分析仪(PSA-16),该设备性能和参数达到进口设备的水平,价格却远低于进口产品,弥补了目前国产自主设备在蛋白稳定性专业研究分析领域的空白。并于当年年底就成功安装了第一台设备到中牧股份兰州生物药厂。随后在2024-2025年又连续成功安装了多台到工业企业和科研单位,包括:上海近岸科技有限公司、郑州大学河南省医药科学研究院、吉林大学、辽宁大学、成都生物制品研究所有限责任公司、北京工商大学、石河子大学、北京友谊医院消化健康全国重点实验室、深圳技术大学、中国科学院深圳先进技术研究院、蓝星安迪苏南京有限公司、清华大学、成都中医药大学等,并获客户良好反馈。
北京佰司特科技有限责任公司积极服务客户,助力武汉大学、河南大学、齐鲁工业大学(山东省科学院)、中科院武汉病毒所、中国农业大学等单位合作发表多篇高质量论文(Nature子刊《npj Vaccines》、《International Journal of Biological Macromolecules》、《ACS Nano》、《Nucleic Acids Research》《Acta Crystallographica》等)。
2025年年初,北京佰司特科技有限责任公司成功出口第一台蛋白稳定性分析仪PSA-16到俄罗斯,2026年初又出口2台PSA-16到俄罗斯,开启国际市场的推广与销售。
如果您对我们的产品感兴趣,欢迎联系我们预约技术交流和Demo测试。
北京佰司特科技有限责任公司
网址:www.best-sciences.com
电话:010-68999936
邮箱:best_science@163.com
地址:北京市朝阳区东三环中路乐成中心B座2109室
北京佰司特科技有限责任公司 (https://www.best-sciences.com)
类器官串联芯片培养系统—HUMIMIC;类器官灌流式培养和代谢监测系统—IMOLA;
蛋白稳定性分析仪—PSA-16;单分子稳定性分析仪(磁镊力谱测量仪)—HiMT;单分子质量光度计—TwoMP;超高速视频级原子力显微镜—HS-AFM;微流控扩散测量仪—Fluidity One-M;
微纳加工点印仪—NLP2000/DPN5000;台式原子力显微镜—ACST-AFM;全自动半导体式细胞计数仪—SOL COUNT;农药残留定量检测仪—BST-100;
- 2026-04-13
- 2026-04-11
- 2026-03-21
- 2026-03-03
- 2026-03-03
- 2026-01-21
- 2026-01-21
- 2025-12-23
- 2025-12-23
- 2025-12-23
- 2025-12-23
- 2025-12-02
- 2025-11-03
- 2025-10-29
- 2025-10-28